![]() Crystal structure change of katoite, Ca3Al2(O4D4)3, with temperature at high pressure 加藤石の高圧下での温度による結晶構造変化 興野 純,加藤正人,佐野亜沙美,町田真一,服部高典 Physics and Chemistry of Minerals, 46, 459-469, 2019. |
||||||||||
| 【はじめに】 Nominally Anhydrous Minerals (NAMs)は,マントル中の重要な水のリザーバーと考えられている.中でもガーネットは,四面体席のSi4+と4H+が置換するハイドロガーネット置換によって最も効率的に構造中に水を取り込むことができる.ハイドロガーネットであるkatoite [Ca3Al2(O4H4)3]の圧力特性については,5 GPa付近で空間群が立方晶系Ia-3d(対称中心あり)から立方晶系I-43d(対称中心なし)に相転移することが高圧単結晶XRDによって示されている(Lager et al. 2002).しかし,その後の実験からそれを支持する明確な証拠が得られず(Lager
et al. 2005),最近の第一原理計算結果では,5 から15 GPaでの空間群は,Ia-3dでもI-43d でもないことが示された(Erba et al. 2015).さらに,katoiteの高温高圧下での挙動はまだ良く分かっておらず,マントルにおけるkatoiteの挙動は未だ不明な点が多い.そこで本研究は,高温高圧中性子回折測定を実施し,高圧下でのkatoiteの温度特性を明らかにすることを目的に行った.
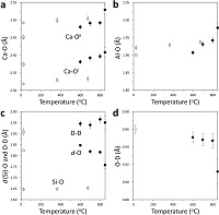
【実験方法】Katoiteの中性子回折用試料は,重水(D2O)を用いて水熱合成法によって合成した.高温高圧中性子回折実験は,J-PARC BL11(PLANET) 6軸型マルチアンビル高圧発生装置(圧姫)を用いて行った. 【結果と考察】 高温高圧中性子回折実験の結果,katoiteは常圧から8 GPaまで空間群Ia-3dを維持した.つまり,Ia-3dの消滅側を破る反射は観察されず,少なくともI-43dに相転移するという先行研究(Lager et al. 2002)が示した明確な証拠は確認できなかった.さらに,katoiteは8GPaの圧力下で,室温から850℃までその構造を安定に保ち,900℃で脱水して,その後corundumとportlanditeに分解した(図1).Katoiteは常圧下では261℃で脱水し,mayeniteとportlanditeに分解することが高温その場XRDの結果から明らかになっている(Rivas-Mercury et al. 2008).本研究は,常圧下のkatoiteの挙動と比べて,8GPaという高圧下ではかなり高温までザクロ石の構造を維持することを示した.高温高圧下でのkatoiteの結晶構造変化をリートベルト法によって解析した(図2).その結果,katoiteの結晶構造は,圧力8 GPa下では温度上昇とともにCa-O結合とAl-O結合は連続的に増加することが明らかになった(図3a,b).しかし,D-D距離は850℃までほぼ一定を保つのに対し,O-D結合距離は850℃で著しい減少を示した(図3c,d).このことは,katoiteのCaO8十二面体とAlO6八面体は850℃まで等方的に膨張するのに対し,その隙間にあたる四面体配位はそれらの膨張を受けて収縮していくことを意味知る(図4).これによってO-D結合が850℃で極端に短くなり,katoiteが900℃で脱水分解する主要な原因になっていると考えられる. ●参考文献 .Erba A, Navarrete-Lopez AM, Lacivita V, D'Arco P, Zicovich-Wilson CM (2015) Katoite under pressure: an ab initio investigation of its structural, elastic and vibrational properties sheds light on the phase transition. Phys Chem Chem Phys 17:2660–2669 Lager GA, Downs RT, Origlieri M, Garoutte R (2002) High-pressure single-crystal X-ray diffraction study of katoite hydrogarnet: Evidence for a phase transition from Ia3d -> I-43d symmetry at 5 GPa. Am Mineral 87:642–647 Lager GA, Marshall WG, Liu Z, Downs RT (2005) Re-examination of the hydrogarnet structure at high pressure using neutron powder diffraction and infrared spectroscopy. Am Mineral 90:639–644 Rivas-Mercury JM, Pena P, de Aza AH, Turrillas X (2008) Dehydration of Ca3Al2(SiO4)y(OH)4(3-y) (0 < y < 0.176) studied by neutron thermodiffractometry. J. Eur. Ceram. Soc 28:1737–1748
|
![]() 図1. 中性子回折パターン変化 ![]() 図2. リートベルト解析 ![]() 図3. 結合距離の温度依存性 ![]() 図4. katoiteの結晶構造変化 |
|||||||||
| Copyright © 2004-2023 Atsushi Kyono. All Rights Reserved. | ||||||||||
