![]() Carbon substitution for oxygen in α-cristobalite α-クリストバライトにおける酸素と炭素の置換 三谷彩木,興野純 Journal of Mineralogical and Petrological Sciences, 112, 52-56, 2017 |
||||||||||
| 【はじめに】炭素は生物にとって必要不可欠な元素の一つであり,大気中では主に二酸化炭素として,地球表層では動植物などの有機炭素として,海洋中では主に炭酸水素イオンや炭酸イオンとして振る舞い,地球の生命活動に大きな役割を果たしている.しかし,実際に地球で最も炭素が蓄えられている場所はマントルであり,その量は地球表層の約10倍とされている(Falkowski et al.,2000; Dasgupta et al.,2010).マントルでは,炭素は地殻や上部マントルなどの比較的酸化的な環境では,ケイ酸塩メルト中に溶解してCO2分子や炭酸基(CO32-)として挙動しており(Ni and Keppler,2013),一方,酸素分圧が低い還元環境下では,メタン(CH4)として挙動している(Ballhaus,1995; Manning et al.,2013).これまでの実験から,炭素は高温高圧下では,ケイ酸塩鉱物にごく微量に溶解することは知られていた.Shcheka
et al.(2006)は,様々な種類の鉱物に対して高温高圧下での炭素溶解実験を行い,カンラン石の炭素溶解度は,11 GPa,1200˚Cで12
ppmであることを示し,炭素はカンラン石の結晶構造を構成するSiO4四面体のSi4+イオンと置換して取り込まれていることを示唆した.しかし, 近年の研究では,炭素は,ケイ酸塩鉱物のSiO4四面体のSi4+ではなく,頂点の酸素との方が置換しやすく,したがって炭素はより大規模にケイ酸塩鉱物に取り込まれている可能性が示唆されている(Sen et al.,
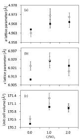
2013; Mera et al., 2013; Tavakoli et al., 2015).そこで本研究では,ケイ酸塩の中で最も単純なシリカ(SiO2)に対して高温下での炭素の反応を調べた. 【実験方法】加熱実験には,非晶質シリカと粉末のグラファイトを用いた.非晶質シリカとグラファイトを, モル比を変えて混合し石英ガラスチューブに真空封入し, 電気炉で1300˚C, 72時間加熱した. 生成物は粉末XRD測定によって構成鉱物の同定を行った. 次に, グラファイトとともに加熱した試料を,真空封入せずに電気炉で1300˚C, 72時間再加熱した. その後, 再び粉末XRD測定を行い, 再加熱前のサンプルと比較をした. 分子軌道及び分子構造の計算は, 量子化学計算プログラムGaussian-09によって行った.波動関数にはMP2, 基底関数には6-311G++(2d,2p)を用いた. シリカの構造モデルには,ジシロキサン分子を用いた. 【結果と考察】粉末XRD測定によって得られた回折パターンを図1に示す.1300˚Cで加熱することによって非晶質シリカはグラファイトの量に関わらずすべてα-クリストバライトとなった.図2に,格子定数と単位格子体積の変化を示す. グラファイトを加えなかった場合に比べて,グラファイトを加えて加熱するとα-クリストバライトのa軸と単位格子体積の値は明らかに増加したのに対して,c軸の値は標準偏差内の変化であった(図2).また,空気中で再加熱することにより,回折パターンから炭素のピークは消滅し,格子定数と単位格子体積は減少する傾向を示した.図3に,第一原理計算によって最適化したジシロキサンの分子構造と最高被占軌道(HOMO)を示す.ジシロキサンの架橋酸素とSiのSi-O結合距離とSi-O-Si結合角の最適化された値はそれぞれ1.615 Å,142.50 ˚となり(図3a),単結晶XRDで求めたα-クリストバライトのSi-O結合距離 = 1.603(1) Å,Si-O-Si結合角 = 146.49(6) ˚ (Downs and Palmer, 1994)と概ね一致した.ジシロキサン分子内のMulliken電荷は,Siが平均+2.53(5),架橋酸素が-1.64であった.次に,ジシロキサン分子の片方のSiをCと置き換えた場合は, 結合距離は1.615 Åから1.358 Åに著しく減少し,Si-O-C結合角も142.50 ˚から127.69 ˚に大きく減少した(図3b).また,四面体間距離のSi-C原子間距離も3.058 Åから2.690 Åまで著しく減少した.続いて,ジシロキサン分子の架橋酸素をCに置き換えた場合は,Si-C結合距離は1.615 Åから1.849(5) Åに拡大した.このときのSi-C結合距離はモアッサナイト(SiC)のSi-Cの平均結合距離1.890 Å (Capitani et al., 2007)と概ね一致する.それによって,四面体間の距離も3.058 Åから3.303 Åまで拡大した.一方,Si-C-Si結合角は,π結合の形成によって126.64 ˚に減少した. ジシロキサン分子(SiO4の二量体)の架橋酸素をCが置換した場合は,四面体間距離が拡大するという第一原理計算の結果は,α-クリストバライトが異方的に膨張し単位格子体積が増加するという粉末XRD測定の結果を整合的に説明することができる.本研究はシリカを対象に行った実験であるが,シリカ以外のケイ酸塩鉱物でも高温で極度な還元環境下では炭素がケイ酸塩鉱物中の酸素と置換する可能性が考えられる.また,本研究は,グラファイトヒーターを用いる実験手法において,ケイ酸塩鉱物はグラファイトと反応する可能性も示唆することとなり,実験結果を考察する上ではその効果を考慮する必要性を認識させるものでもある. ●参考文献 Sen, S., Widgeon, S.J., Navrotsky, A., Mera, G., Tavakoli, A., Ionescu, E. and Riedel, R. (2013) Carbon substitution for oxygen in silicates in planetary interiors. Proceedings of the National Academy of Sciences of the United States of America, 110, 15904–15907. Shcheka, S.S., Wiedenbeck, M., Frost, J.D. and Keppler, H. (2006) Carbon solubility in mantle minerals. Earth and Planetary Science Letters, 245, 730-742.
|
![]() 図1. XRDパターンの変化 ![]() 図2. 格子定数のC/SiO2比と再加熱による変化 ![]() 図3. 電子軌道と構造最適化計算の結果.(a)Si-O-Si,(b)Si-O-C,(c)Si-C-Si |
|||||||||
| Copyright © 2004-2025 Atsushi Kyono. All Rights Reserved. | ||||||||||
